Global Trade leader ecrobot

본문 바로가기


> Pharmaceutical products
HS-CODE : 30
Products 40,266 Result
Dye & Pigment Intermediates 5-Hydroxymethyl thiazole
Nov 23 2006
HeBei Hua-chem Group --ProductIntroduction 5-Hydroxymethyl thiazole CAS 38585-74-9) Appearance Light yellow liquid Contents(HPLC) % ≥97.0 Usage: Mainly used to synthesise drug intermedi…
HS-CODE : 30-
Hebei Hua-Chem Group
China [CN]
Scince 0
Free Member
Dye & Pigment Intermediates 2-Carboxy -5-nitrobenzene sulfonic acid( P...
Nov 23 2006
HeBei Hua-chem Group --ProductIntroduction 2-Carboxy -5-nitrobenzene sulfonic acid ( Potassium salt) CAS 5344-48-9 Appearance Yellow powder Contents%(HPLC) ≥99.0 Volatilization% ≤0.20 …
HS-CODE : 30-
Hebei Hua-Chem Group
China [CN]
Scince 0
Free Member
Dye & Pigment Intermediates 2-(4'-Hydrophenyl)-4-fluorobenyl imine
Nov 23 2006
HeBei Hua-chem Group --ProductIntroduction 2-(4'-Hydrophenyl)-4-fluorobenyl imine CAS 3382-63-6 Appearance Light yellow crystal Melting Point ℃180-183 Usage: Mainly used to synthesise m…
HS-CODE : 30-
Hebei Hua-Chem Group
China [CN]
Scince 0
Free Member
Dye & Pigment Intermediates 1,4-Cyclohexanedione
Nov 23 2006
HeBei Hua-chem Group --ProductIntroduction 1,4-Cyclohexanedione CAS# 637-88-7 Appearance white crystal Contents % ≥ 99(HPLC) Melting Point ℃76-79 Usage: Mainly used in electroconduc…
HS-CODE : 30-
Hebei Hua-Chem Group
China [CN]
Scince 0
Free Member
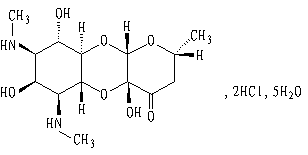
Spectinomycin Hydrochloride
Nov 07 2006
Molecular Formula: C14 H24 N2 O7.2HCl.5H2O Molecular Weight: 495.35 Packing: 4 KG/TIN, 2TINS/CARTON Quantity: 100.000KGS (64.8OU) Standard: EP V. Appearance:White or almost white powder slightly…
HS-CODE : 30-
Jinan Bangda Pharmaceuti...
China [CN]
Scince 0
Free Member
Apramycin Sulfate
Nov 07 2006
Molecular Formula:C21H41N5011•5/2H2SO4 Molecular Weight: 637.66 CAS: 65710-07-8 Description: Light yellow or yellowish brown powder Identification: Conform Loss on drying: ≤ 10.0% Residue …
HS-CODE : 30-
Jinan Bangda Pharmaceuti...
China [CN]
Scince 0
Free Member
Warfarin sodium(container)
Nov 07 2006
Molecular Foluma:C19H15NaO4 Molecular weight: 330.31 CAS :129-06-6 Appearance: White crystalline powder Identification: a. IR spectrum exhibits maximum only at the same wavelengths as that of the …
HS-CODE : 30-
Jinan Bangda Pharmaceuti...
China [CN]
Scince 0
Free Member
Aztreonam
Nov 07 2006
Molecular Formula:C13H17N5O8S2 Molecular Weight:435 CAS NO:104184-69-2 Standard:USP27 Appearance: WhiteOdorless crystalline powder Specific Rotation: -26°~ -32° pH: 2.2~2.8 Related Impurities≤ …
HS-CODE : 30-
Jinan Bangda Pharmaceuti...
China [CN]
Scince 0
Free Member
Ticarcillin disodium
Nov 07 2006
Molecular Formula:C15H14N2Na2O6S2 Molecular Weight:428.39 CAS Registry Number:4697-14-7 Packing: 20kg/drum Appearance: White to pale yellowish powder Specific rotation: +172°~ +187° pH: 6.0~ 8.…
HS-CODE : 30-
Jinan Bangda Pharmaceuti...
China [CN]
Scince 0
Free Member
Dicamba,Emamectin Benzoate,Beta-cypermecthrin,Gibberellins
Nov 07 2006
Zhejiang Shengha Biok Biology Co.,Ltd is one of China's largest&leading manufacturers and exporters in producing new agrochemicals and veterinary medicaments for animal nutrition and health. It was es…
HS-CODE : 30-
Zhejiang Shenghua Biok B...
China [CN]
Scince 0
Free Member
Flavomycin,Colistin sulphate,Diclazuril,Salinomycin sodium
Nov 07 2006
Zhejiang Shengha Biok Biology Co.,Ltd is one of China's largest&leading manufacturers and exporters in producing new agrochemicals and veterinary medicaments for animal nutrition and health. It was es…
HS-CODE : 30-
Zhejiang Shenghua Biok B...
China [CN]
Scince 0
Free Member
Abamectin Min95%,0.5-1.8%EC, Ivermectin97%
Nov 07 2006
Zhejiang Shengha Biok Biology Co.,Ltd is one of China's largest&leading manufacturers and exporters in producing new agrochemicals and veterinary medicaments for animal nutrition and health. It was es…
HS-CODE : 30-
Zhejiang Shenghua Biok B...
China [CN]
Scince 0
Free Member
Hippophae Rhamnoides (Seaberry) P.E.
Nov 06 2006
We are one of the leading manufacturer of plant extracts,herb extracts and botanical extracts in China. We can supply all kinds of standardized extracts and ratioed extracts. Now we can supply the Hi…
HS-CODE : 30-
Tai'an Zhonghui Plant Bi...
China [CN]
Scince 0
Free Member
Andrographis Paniculate P.E.
Nov 06 2006
We are one of the leading manufacturer of plant extracts,herb extracts and botanical extracts in China. We can supply all kinds of standardized extracts and ratioed extracts. Now we can supply the An…
HS-CODE : 30-
Tai'an Zhonghui Plant Bi...
China [CN]
Scince 0
Free Member
Tripterygium Wilfordii P.E.
Nov 06 2006
We are one of the leading manufacturer of plant extracts,herb extracts and botanical extracts in China. We can supply all kinds of standardized extracts and ratioed extracts. Now we can supply the Tr…
HS-CODE : 30-
Tai'an Zhonghui Plant Bi...
China [CN]
Scince 0
Free Member

ECROBOT CO., Ltd, Business Registration Number : 220-88-71747, CEO J.W.Park, TEL : +82-2-552-7676, E-mail : E-mail : Contact us
Address : (Hwanghwa B/D 11F, Yeoksam-dong)320, Gangnam-daero, Gangnam-gu, Seoul, South Korea
About Us Privacy Policy Terms of use Copyright © 2000-2026 ECROBOT.COM. All rights reserved.
Top