Global Trade leader ecrobot

본문 바로가기


Home > Product > CHEMICAL > | Miscellaneous chemical p
Products 12,316 Result
Emulsifier for emulsion polymerization chemical anionic surfactant
Apr 03 2014
Emulsifier 2A-5045 Properties: Appearance pale yellow liquid Content 45% pH value 6.5-7.5 HLB value 19 Emulsifier 2A-1245 Properties: Appearance pale yellow liquid Content…
HS-CODE : 38-
Jiangxi Biological Chemi...
China [CN]
Scince 0
Free Member
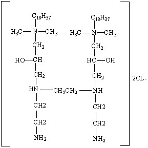
Dioctadecyl dimethyl - polyamine -quatemary diammonium salt
Apr 03 2014
Dioctadecyl dimethyl - polyamine -quatemary diammonium salt Alias: Double alkyl polyamine -quatemary diammonium salt; Dimethyl distearylammonium chloride Chemical structure: P…
HS-CODE : 38-
Jiangxi Biological Chemi...
China [CN]
Scince 0
Free Member
Epichlorohydrin -diethanolamine chemical cationic surfactant
Apr 03 2014
Alias: Epichlorohydrin –diethanolamine, Polyquaternium, poly 2- Hydroxypropyl -1,1-N- diethanolamine chloride, deswelling agent, clay controller, drilling lubricant Properties: Appearance: ligh…
HS-CODE : 38-
Jiangxi Biological Chemi...
China [CN]
Scince 0
Free Member
Dimethyl distearylammonium chloride;DODMAC cas no. 107-64-2 chemical c...
Apr 03 2014
Other names: N,N-Dimethyl-N,N-dioctadecylammonium chloride Distearyl Dimethyl Ammonium Chloride; Hexadecen N,N-dimethyl-N-octadecyloctadecan-1-aminium chloride N,N-dimethyl-N-octadecyloctadecan-1…
HS-CODE : 38-
Jiangxi Biological Chemi...
China [CN]
Scince 0
Free Member
Poly (diallyl dimethyl ammonium chloride) CAS NO.26062-79-3
Apr 03 2014
(flocculating agent)PDADMA Environmental Color-fix Agent SG Nature: Appearance: colorless to light yellow clear liquid Solid content: 40±1% Feature: It is a sort of Water-soluble cation ty…
HS-CODE : 38-
Jiangxi Biological Chemi...
China [CN]
Scince 0
Free Member
Fixing agent Y cas no. 265912-16-8
Apr 03 2014
Fixing Agent YCAS NO.26591-12-8 Another name: Color fix Nature: Appearance: colorless or white powder Water solubility: fully dissolute in the water, aqueous solutions colorless transparent liqu…
HS-CODE : 38-
Jiangxi Biological Chemi...
China [CN]
Scince 0
Free Member
Emulsifier FM chemical cationic surfactant
Apr 03 2014
Emulsifier FM Other names: Emulsifier 4H Triethanolamine monostearate Nature: Appearance: brown thickly oily liquid Water solubility: soluble in oils, can spread into lactescence in wat…
HS-CODE : 38-
Jiangxi Biological Chemi...
China [CN]
Scince 0
Free Member
N-octadecylalkyl diquaternium salt chemical cationic surfactant
Apr 03 2014
Another name: Double-chain quaternary ammonium salt Nature: Conclude two weng nitrogen atoms, it has stronger bonding capacity and adsorption capacity of metal, plastic, fabric, mining,the compound…
HS-CODE : 38-
Jiangxi Biological Chemi...
China [CN]
Scince 0
Free Member
didodecyl dimethyl-γ-diquaternium salt chemical cationic surfactant
Apr 03 2014
Another names: Double alkyl-γ- diquaternium salt Feature: Include both performance of double alkyl single quaternary ammonium salts and monoalkyl bisquaternary ammonium salt, with strong adsorptio…
HS-CODE : 38-
Jiangxi Biological Chemi...
China [CN]
Scince 0
Free Member
Dimethylamine-epichlorohydrin copolymer cas no. 39660-17-8 chemical ca...
Apr 03 2014
Methanamine, N-methyl- Polymer with (chloromethyl)oxirane;Dimethylamine Epichlorhydrin polymer Polyquaternary ammonium salt Chlorination polythelene 2-hydroxypropyl-1 Anti-swellin…
HS-CODE : 38-
Jiangxi Biological Chemi...
China [CN]
Scince 0
Free Member
perfufme factory,OEM perfume,Original perfume
May 08 2014
About products: About product: 1, OEM, ODM perfume is accepted. 2, France fragrance 3, Stock perfume MOQ: 72PCS $4.5~6.5/pcs 4, OEM/ODM perfume MOQ: 5000PCS $1-3.5/pcs 5, Lasting time: 1-3d…
HS-CODE : 38-
Mtperfume Company Ltd
China [CN]
Scince 0
Free Member
Designer prefume
May 08 2014
About products: About product: 1, OEM, ODM perfume is accepted. 2, France fragrance 3, Stock perfume MOQ: 72PCS $4.5~6.5/pcs 4, OEM/ODM perfume MOQ: 5000PCS $1-3.5/pcs 5, Lasting time: 1-3d…
HS-CODE : 38-
Mtperfume Company Ltd
China [CN]
Scince 0
Free Member
Perfume wholesale
May 08 2014
About products: About product: 1, OEM, ODM perfume is accepted. 2, France fragrance 3, Stock perfume MOQ: 72PCS $4.5~6.5/pcs 4, OEM/ODM perfume MOQ: 5000PCS $1-3.5/pcs 5, Lasting time: 1-3d…
HS-CODE : 38-
Mtperfume Company Ltd
China [CN]
Scince 0
Free Member
Female perfume,Women perfume,Brand perfume
May 08 2014
About products: About product: 1, OEM, ODM perfume is accepted. 2, France fragrance 3, Stock perfume MOQ: 72PCS $4.5~6.5/pcs 4, OEM/ODM perfume MOQ: 5000PCS $1-3.5/pcs 5, Lasting time: 1-3d…
HS-CODE : 38-
Mtperfume Company Ltd
China [CN]
Scince 0
Free Member
LPG cylinder
Apr 02 2014
LPG gas bottles provide fuel for home and small business and LPG is a good alternative to electricity. Our gas bottle are guaranteed to be in high quality since all of them having passed a series of s…
HS-CODE : 38-
QINGDAO BAIGONG INDUSTRI...
China [CN]
Scince 0
Free Member

ECROBOT CO., Ltd, Business Registration Number : 220-88-71747, CEO J.W.Park, TEL : +82-2-552-7676, E-mail : E-mail : Contact us
Address : (Hwanghwa B/D 11F, Yeoksam-dong)320, Gangnam-daero, Gangnam-gu, Seoul, South Korea
About Us Privacy Policy Terms of use Copyright © 2000-2026 ECROBOT.COM. All rights reserved.
Top