Global Trade leader ecrobot

본문 바로가기


Home > Product > CHEMICAL > | Organic chemicals | Heterocyclic compounds w
Products 57 Result
Lotus Leaf extract
Dec 20 2016
Lotus Leaf extract Latin Name: Folium nelumbinisSpecifications: Nuciferine 2%~98%, 10: 1, 20: 1Part of the Plant Used : LeafAppearance: Brown or Light White PowderActive ingredients : Nuciferine …
HS-CODE : 2932-99
Unistan Pharma Industria...
China [CN]
Scince 0
Free Member
Peanut shell Extract
Dec 20 2016
Peanut shell Extract  Product Name: Peanut shell Extract  Botanical Name: Arachis hypogaea LUsed Part: Peanut shellPlants: Solanum Prunella, Qing Lan, Caprifoliaceae Lonicera.…
HS-CODE : 2932-99
Unistan Pharma Industria...
China [CN]
Scince 0
Free Member
Arbutin
Dec 20 2016
Arbutin20-98% HPLCCAS#: 77-52-1Main Contents: ArbutinPlant Resource: Arctostaphylos uva-ursiMain Specification: 20-98% HPLCAppearance: white powderPlant Part Used: LeafExtract Solution: EthanolMolec…
HS-CODE : 2932-99
Unistan Pharma Industria...
China [CN]
Scince 0
Free Member
Ivermectin EP
Nov 24 2016
1.CAS No. 70288-86-7 2.EINECS No.274-536-0 3.Place of Origin: China (Mainland) 4.Shape: white crystalline powder 5.Use: antiparasitic 6.Packing: 25kg drums 7.Standard: EP,USP
HS-CODE : 2932-99
Lianyungang Runhou Inter...
China [CN]
Scince 0
Free Member
Succinic acid
May 12 2016
Basic Info. CAS 110-15-6 Einecs No :203-740-4 Raw Material:Plants Specification: ISO Trademark:Bochuang Origin:Weifang, China Appearance:White Crystalline Powder HS Code:2932…
HS-CODE : 2932-99
Weifang Bo Chuang Chemic...
China [CN]
Scince 0
Free Member
GA3 90% TC
May 06 2015
Main Specification: gibberellic acid Gibberellic Acid 90%TC;75%JJF,85%JJF;40%SG;3%EC,4%EC;10%SP,20%SP Gibberellic Acid �…
HS-CODE : 2932-21
shijiazhuang awiner biot...
China [CN]
Scince 2006
Free Member
rosuvastatin intermediates C-4
Apr 08 2015
Chemical name:(4R-CIS)-6-[ (ACETYLOXY)METHYL ]-2,2-DIMETHYL-1, 3-DIOXANE-4-ACETIC ACID,1,1-DIMETHYLETHYL ESTER PRODUCT:(4R-CIS)-6-[ (ACETYLOXY)METHYL ]-2,2-DIMETHYL-1,3-DIOXAN…
HS-CODE : 2932-99
JIANGXI AIFEIMU PHARMA C...
China [CN]
Scince 0
Free Member
Fluvastatins Sodium F-5
Apr 13 2015
Chemical name: Sodium(+-) (E)-3,5-dihydroxy-7-[3'-(4”-fluorophenyl)-1'-methylethyl-indol-2'-yl] hept-6-enoate  Item &…
HS-CODE : 2932-99
JIANGXI AIFEIMU PHARMA C...
China [CN]
Scince 0
Free Member
Fluvastatin intermediates F-4
Apr 13 2015
Test Item   Standard   Description   Yellow or light yellow   crystalline po…
HS-CODE : 2932-99
JIANGXI AIFEIMU PHARMA C...
China [CN]
Scince 0
Free Member
Fluvastatin intermediates F-3
Apr 13 2015
Name: T-BUTYL(E)-7-[3'(4''-FLUOROPHENYL)-1'-METHYLETHYL-INDOL-2'-YL]-3-HYDROXY-5-OXO-6-HEPTENOATE   Test Item …
HS-CODE : 2932-29
JIANGXI AIFEIMU PHARMA C...
China [CN]
Scince 0
Free Member
Fluvastatin intermediates F-2
Apr 20 2015
Chemical name: (E)-3-[3'-(4"-fluorophenyl)-1'-(1”-methylethyl)-1H-indole-2”yl] prop-2-enal Test Item   Standa…
HS-CODE : 2932-99
JIANGXI AIFEIMU PHARMA C...
China [CN]
Scince 0
Free Member
Fluvastatin intermediates F-1
Apr 29 2015
Chemical name: 3-(4'-fluorophenyl)-1-(1'-methylethyl)-1H-indole  Test Item   Standard   D…
HS-CODE : 2932-99
JIANGXI AIFEIMU PHARMA C...
China [CN]
Scince 0
Free Member
Atorvastatin lactoneL-6
Mar 05 2015
5-(4-Fluorophenyl)-2-(1-methylethyl)-N,4-diphenyl-1-[2-[(2R,4R)-tetrahydro-4-hydroxy-6-oxo-2H-pyran-2-yl]ethyl]-1H-pyrrole-3-carboxamide -(4-fluorophenyl)-2-(1-methyl-ethyl)-N,4-diphenyl-1-[2-[(2…
HS-CODE : 2932-99
JIANGXI AIFEIMU PHARMA C...
China [CN]
Scince 0
Free Member
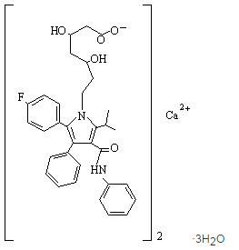
Atorvastatin amorphous L-5
Mar 05 2015
Chemical name: [(3R, 5R)-7-[2-(4-Fluorophenyl)-5-Isopropyl-3-Phenyl-4-(Pheynylcarbamoyl) Pyrrol-1-yl]-3, 5 -Dihydroheptanoic Acid, calcium salt (2:1) Trihydrate L5(Atorvastatins Calcium amorphous…
HS-CODE : 2932-99
JIANGXI AIFEIMU PHARMA C...
China [CN]
Scince 0
Free Member
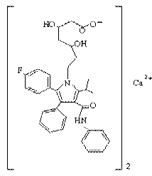
Atorvastatins CalciumL4
Mar 05 2015
Chemical name: [(3R, 5R)-7-[2-(4-Fluorophenyl)-5-Isopropyl-3-Phenyl-4-(Pheynylcarbamoyl) Pyrrol-1-yl]-3, 5 -Dihydroheptanoic Acid, calcium salt (2:1) Trihydrate (3R, 5R)-7-[2-(4-Fluorophenyl)-5-I…
HS-CODE : 2932-99
JIANGXI AIFEIMU PHARMA C...
China [CN]
Scince 0
Free Member

ECROBOT CO., Ltd, Business Registration Number : 220-88-71747, CEO J.W.Park, TEL : +82-2-552-7676, E-mail : E-mail : Contact us
Address : (Hwanghwa B/D 11F, Yeoksam-dong)320, Gangnam-daero, Gangnam-gu, Seoul, South Korea
About Us Privacy Policy Terms of use Copyright © 2000-2026 ECROBOT.COM. All rights reserved.
Top